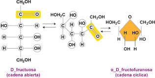
En disolución, los monosacáridos pequeños se encuentran en forma lineal, mientras que las aldosas y las cetosas de cinco o más átomos de carbono, no son moléculas lineales sino que se encuentran formando ciclos o anillos.
La estructura lineal recibe el nombre de Proyección de Fischer, y la estructura ciclada, Proyección de Haworth. En la representación de Haworth la cadena carbonada se cicla situada sobre un plano. Los radicales de la cadena se encuentran por encima o por debajo de ese plano.
La ciclación se produce por la formación de un enlace intramolecular en el que el grupo carbonilo reacciona con el grupo hidroxilo (OH) del carbono asimétrico más alejado del grupo funcional.
- Si el grupo carbonilo formaba parte de un aldehído (aldosa) el enlace es de tipo hemiacetal.
- Si el grupo carbonilo formaba parte de una cetona (cetosa) el enlace será de tipohemicetal.
Al ciclarse, el carbono que llevaba el grupo funcional pasa de no ser asimétrico a serlo por lo que aparecerán dos nuevos isómeros ópticos. Estos nuevos isómeros ópticos se llaman anómeros y son las formas α y β y el carbono que llevaba el grupo funcional, el 1 en las aldosas y el 2 en las cetosas, pasa a llamarse anomérico.
Las aldosas de cinco átomos de carbono y las cetosas de seis forman anillos de cinco lados llamados furanosas y las aldosas de seis, piranosas. Así tendremos α-D-fructofuranosa o β-L-galactopiranosa.
