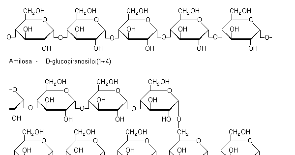
Los monosacáridos (glúcidos más simples formados por un átomo de carbono) se unen a otro glúcido mediante un enlace glucosídico. También pueden unirse varios monosacáridos llegando a formar un polisacárido, como la sacarosa.
.gif)
Los monosacáridos (glúcidos más simples formados por un átomo de carbono) se unen a otro glúcido mediante un enlace glucosídico. También pueden unirse varios monosacáridos llegando a formar un polisacárido, como la sacarosa.
.gif)
Obra publicada con Licencia Creative Commons Reconocimiento Compartir igual 4.0